西咸新区管委会公开招聘派遣制员工笔试工作已经结束,现将有关事项通知如下:
一、笔试成绩公布
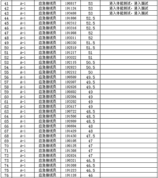
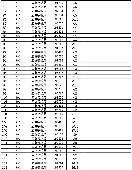
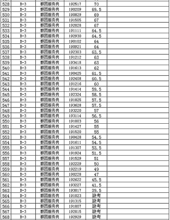
西咸新区管委会公开招聘派遣制员工笔试工作已于2019年1月13日上午在陕西国际商贸学院完成,现将笔试成绩公布如下:
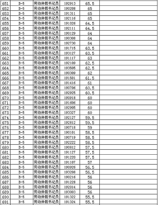
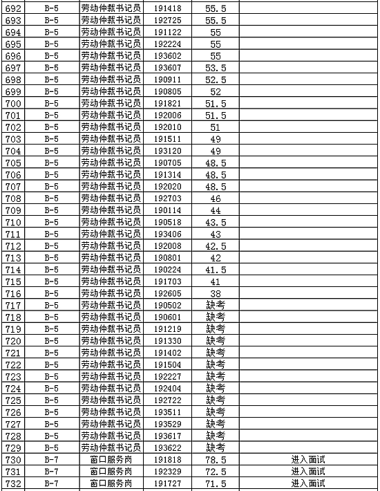
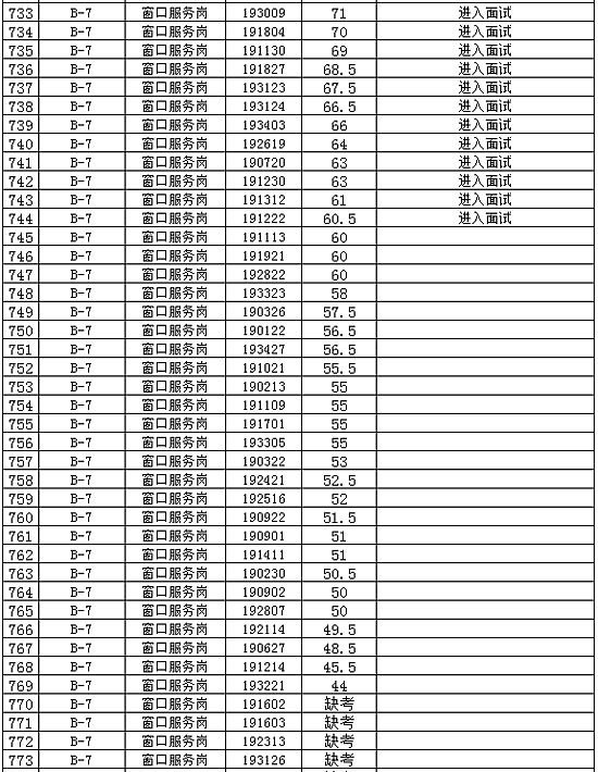
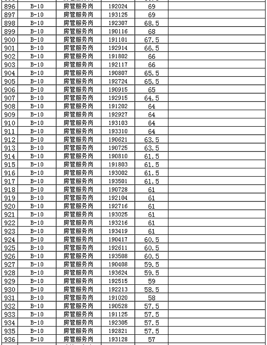
详见附件《西咸新区管委会公开招聘派遣制员工笔试成绩》
二、体能测试
A类岗位进入面试人员同时进入体能测试环节,体能测试时间、地点另行通知。
三、面试安排
1、面试人员
详见附件《西咸新区管委会公开招聘派遣制员工面试人员名单》。
2、面试安排
面试形式:半结构化面试
面试时间:1月19日
面试时间安排:
职位 | 面试时间 |
人事服务岗 | 1月19日上午8:00 |
宣传教育岗 | |
财务管理岗 | |
B1、A2驾驶员 | |
综合文员岗 | |
综合服务岗 | |
技术应用岗 | |
市民热线话务员 | |
营商服务岗 | |
档案服务岗 | |
群团服务岗 | |
宣传服务岗 | |
讲解员 | |
劳动仲裁书记员 | |
机要服务岗 | |
应急接线员 | 1月19日下午13:00 |
应急处置岗 | |
窗口服务岗 | |
不动产服务岗 | |
房管服务岗 | |
招商服务岗 | |
双创服务岗 |
面试地点:陕西省西咸新区世纪大道国润城人才大厦三楼
3、面试人员须知
(一)考生于开考前30分钟凭本人身份证、准考证参加面试,未能准时报到,按自动放弃面试资格处理;携带证件不齐者,按规定取消面试资格。
(二)考生在候考室工作人员的组织下,抽签决定面试考生出场顺序,不得擅自离开候考室。需要上洗手间的,须经工作人员同意。面试开始时,考生在工作人员的引导下按顺序进行面试。
(三)考生在面试期间实行封闭管理,所携带的通讯工具,音频、视频收发设备,须关闭并封存直至面试结束。在候考室与面试室外等候时,不得喧哗,不得影响他人,不得交流与面试有关的问题,不得对外泄露本次面试内容,要服从工作人员安排,自觉遵守面试工作秩序。
(四)考生离开候考室前往面试时必须带齐个人全部随身物品,面试完毕后,由引导员按照规定路线引导离开,不得在考场附近逗留。
(五)考生应自觉遵守面试有关规定,不得冒名顶替,对于有违反纪律行为的考生,视其情节轻重,分别给予批评教育、取消面试资格等处理。
陕西省西咸新区人力资源服务中心
2019年1月14日
西咸新区管委会公开招聘派遣制员工笔试成绩




























陕公网安备 61019602000052号